ECUACIONES DE SEGUNDO GRADO
ECUACIONES DE SEGUNDO GRADO COMPLETAS
HAY DOS TIPOS DE ECUACIONES:
-ECUACIONES DE SEGUNDO GRADO COMPLETAS:
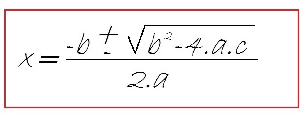
Las ecuaciones de segundo grado completas son las que se representan de la siguiente forma:

Fórmula de ecuaciones de segundo grado completas.

Ecuaciones de Segundo Grado Incompletas.
Cuando b=0:

Cuando c=0:

Cuando b = 0 y c = 0:
